近期,沈德元教授课题组王昊天副教授、马杰教授、郭珺副教授合作在微型化晶体腔的超低噪声激光器方面取得了一系列重要研究进展。
首先采用小模具新型抛光工艺制备出品质因子超十亿的氟化镁晶体回音壁腔,腔体表面粗糙度低至nm量级。该晶体腔热机械性能稳定,适用波段宽,可覆盖紫外到中红外(300-5000nm)。现已将该加工工艺推至量产阶段,并已商用化定型。同时还可为用户提供光纤封装版本,尾纤输入输出。
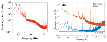
利用晶体腔的窄模式线宽以及良好热性能大幅度降低了激光器噪声。首先采用自注入锁定技术,使原本多纵模激光器成功实现单纵模振荡,输出的激光瞬时线宽小于1Hz。为抑制激光器低频噪声,结合PDH技术,将激光锁定到晶体腔后的噪声已接近热噪声极限,最低频率噪声0.2Hz2/Hz,激光输出积分线宽低至26Hz。采用自主设计优化的激光放大器,在保证激光低噪声的前提下获得了5W的激光功率输出,这也是目前此类型低噪声激光器的最高输出功率。

图1 晶体WGM光学谐振腔光纤耦合方案,插图为测的晶体腔模式线宽~180kHz,对应Q值>109@1550nm

图2 基于晶体腔的(a)自注入锁定型和(b)PDH锁频型的激光器频率噪声
以上成果凭借回音壁腔天然的小体积优势,为在如太空等严苛环境下实现微型化低噪声窄线宽激光器提供了极具潜力的技术路径。该技术长期被欧美国家垄断,相应产品价格昂贵。以上研究成果突破了技术壁垒,实现我国在此领域核心技术自主可控。相关成果公开发表后获得了美国航天局(NASA)、欧洲航天局(ESA)、Bell实验室、俄罗斯国家量子中心等国际同行的高度评价。
参考文献
1、J. Ji, H. Wang, J. Ma, J. Guo, J. Zhang, D. Tang, and D. Shen, Narrow linewidth self-injection locked fiber laser based on a crystalline resonator in add-drop configuration, Opt. Lett. 47(6), 1525 (2022).
2、Y. Xu, H. Wang, J. Guo, J. Zhang, W. Zhou, and D. Shen, Laser frequency stabilization based on Fano resonance in a microcylinder cavity, Opt. Lett. 48(16), 4288 (2023).
3、J. Zhang, X. Liu, H. Wang, J. Guo, X. Yang, C. Ren, W. Zhou, and D. Shen, “Near thermal noise limit, 5W single frequency fiber laser base on the ring cavity configuration,” Opt. Express. 32(1), 104 (2024)


